近日,威廉希尔官网李利平博士在相干隧穿破坏理论研究方面取得重要进展,相关成果以“Broadened coherent destruction of tunneling”为题,发表在国际主流期刊Physical Review A上(论文链接: https://doi.org/10.1103/PhysRevA.111.023105)。威廉希尔官网李利平博士为论文的第一作者和唯一通讯作者,威廉希尔体育为该论文的唯一通讯单位。
相干隧穿破坏(CDT: Coherent Destruction of Tunneling)是量子光学的基础,在量子态控制、量子传感以及量子通信等领域有着广泛应用。通过引入周期性的外部驱动场,实现Floquet量子系统中周期驱动诱导非平衡物态的观测与模拟,从而揭示大量新奇的量子现象及其物理机制。在前期的工作中,李利平博士等提出了损耗诱导局域、宇称诱导局域以及混沌相关局域等重要量子现象,得到了领域内的广泛认可。
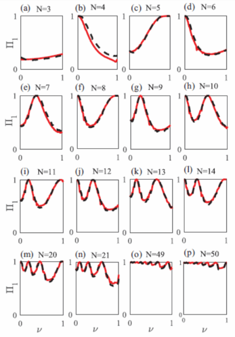
本研究聚焦基本的量子隧穿动力学演化规律和量子态相干操控策略,发展了一套新的解析和数值计算方法,准确揭示了二阶耦合强度在提高和抑制量子隧穿概率中的双重性。通过采用合适的周期驱动方式,将相干隧穿抑制的参数范围扩展到宽窄不等的区域,这不同于传统的相干隧穿破坏现象。李利平研究组将该现象叫做展宽的相干隧穿破坏(Broadened CDT),并进一步提出这个新现象与量子系统准能级的反交叉简并和局域的Floquet态之间的内在关联。该工作为基于量子系统二阶耦合以及系统自身的拓扑结构、几何大小和奇偶性等实现量子态的相干控制提供了理论基础。
该工作得到了国家自然科学基金委以及威廉希尔体育学科实力提升计划项目的支持。
图1 Zig-zag结构的周期驱动量子系统及二阶耦合强度对隧穿动力学的影响。

图2 量子系统格点的数量及其奇偶性对隧穿概率的显著影响。